科研进展
《IEEE Transactions on Geoscience and Remote Sensing》发表智慧农业团队“Quantify Wheat Canopy Leaf Angle Distribution Using Terrestrial Laser Scanning Data”
发布人: 发布日期: 2024-04-04 浏览次数:
作物表型高通量获取和智能解析为高效精准筛选优良种质资源提供技术支撑。近年来,番号鸽 智慧农业团队的作物表型监测组师生,利用地基激光雷达量化小麦冠层的叶角分布,取得了突破性进展。研究结果近日以“Quantify Wheat Canopy Leaf Angle Distribution Using Terrestrial Laser Scanning Data”为题,发表在遥感与地球科学领域顶级期刊《IEEE Transactions on Geoscience and Remote Sensing》。

叶角分布(Leaf Angle Distribution, LAD)是指作物冠层中叶片角度分布的特征,它对于作物的辐射传输过程和光合作用具有重要的影响。作为决定作物冠层结构的重要参数,LAD对于理解作物的光合效率、水分利用效率以及产量稳定性至关重要。因此,准确量化和分析LAD不仅可以为高通量作物表型研究提供基础数据,还可以为作物品种改良和遗传育种工作提供宝贵的支持。
地基激光雷达(Terrestrial Laser Scanning, TLS)作为一种主动式遥感技术,在无损监测作物冠层结构参数方面具有巨大的潜力。然而,目前基于TLS的作物冠层LAD估计存在一些挑战,主要包括作物叶片弯曲难以高精度自动分割、冠层中点密度分布不均匀、冠层下部叶片容易被忽略。针对上述问题,本研究提出了一种改进的基于TLS的作物冠层LAD估计方法,旨在提高植株叶倾角及其分布的估算准确性和可靠性,为智慧育种中的高产理性株型选育提供了自动化的手段和方法。
本研究基于传统法向量方法(Normal Vector,NV)改进并开发了一种体素分割法向量(Voxel Segmentation Normal Vector, VSNV)的方法(见图1)。该方法将小麦冠层划分为体素网格,并通过计算每个体素内与点相关的平面的平均角度来获取作物群体LAD。采用光线追踪的三维辐射传输模型(LESS)验证了新构建的VSNV方法的有效性,证明了VSNV相较于NV方法更加准确(图2)。该方法实现了对野外大田小麦群体水平LAD的高精度估算,为作物高通量表型智能解析提供了技术支持。
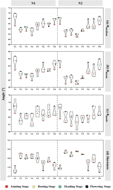
进一步选择披散型和紧凑型二种类型品种和不同氮素管理水平的独立数据来验证本方法。结果表明,紧凑型品种冠层的平均叶倾角(MTA)高于披散型品种,表明紧凑型品种的冠层叶片生长更为紧密。随着氮素水平的增加,MTA变小,说明增大施氮量会导致冠层叶片生长更为披散(图3)。另外,小麦冠层下层的MTA小于中层和上层,表明冠层下部水平方向的叶片数量较多,而中上层垂直方向的叶片数量较多,进一步验证了本方法的准确性和良好的迁移性。
番号鸽 国家信息农业工程技术中心为论文第一完成单位,博士研究生王永清为第一作者,朱艳教授和姚霞教授为通讯作者。曹卫星教授、Timothy A.Warner教授、Fumiki Hosoi教授、程涛教授、郑恒彪副教授等在论文撰写方面提供了帮助。研究得到了国家重点研发专项、国家自然科学基金等项目资助。
论文链接://ieeexplore.ieee.org/document/10398251

图1基于VSNV方法估算作物LAD的步骤。
(a)小麦冠层点云(b)计算法向量(c)点云体素化后的体素立方体(d)体素角度(e)体素角度分布频率(f)四项式拟合体素角度后获得的LAD

图2在三种叶角分布模式(直立叶片、弯曲叶片和真实的弯曲叶片)下基于VSNV和NV二种方法估算的LAD结果对比


图3 不同品种、氮素水平和生育期的小麦冠层LAD及其统计参数对比(V表示品种,N表示氮素水平)
- 上一篇: 《Molecular Plant》发表万建民院士团队“The RNA binding protein EHD6 recruits the m6A reader YTH07 and sequesters OsCOL4mRNA into phase-separated ribonucleoprotein condensates to promote rice flowering”
- 下一篇: 《New Phytologist》发表植物环境适应分子遗传研究课题组“A major gene for chilling tolerance variation in Indica rice codes for a kinase OsCTK1 that phosphorylates multiple substrates under cold”
